Skip to content
Mirishkor tuman tibbiyot birlashmasi
Ish vaqti
Har kun: 24/7
Ishonch teleoni
+998 (75) 652-10-65
Manzil
Yangi Mirishkor shaxarchasi
Bosh sahifa
Biz haqimizda
Bizning tariximiz
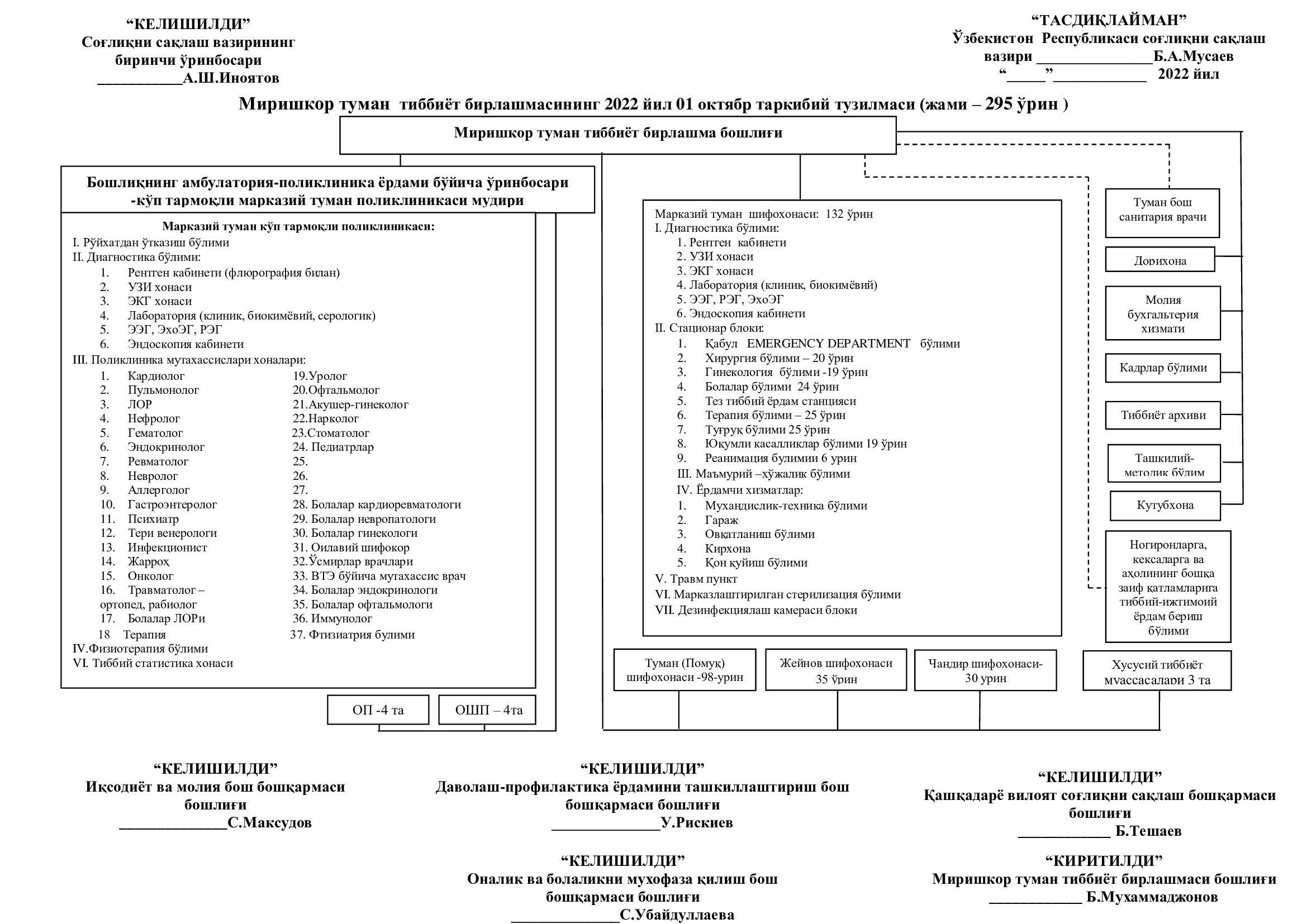
Tarkibiy tuzilma
Ko’p beriladigan savollar
Onlayn qabul
Shifokorlar
Bo’limlar
Xirurgiya bo’limi
Bolalar bo’limi
Reanimatsiya bo’limi
Terapiya bo’limi
Tug’ruq bo’limi
Infeksionniy bo’limi
Tez yodam bo’limi
Urologiya bo’limi
Ginekologiya bo’limi
Hujjatlar
Yangiliklar
Aloqa
Onlayn qabul
Tarkibiy tuzilma
MirishkorTTB.uz
>
Tarkibiy tuzilma
Search for:
Topish
Tarkibiy tuzilma